Перегляньте відео нижче, щоб дізнатися, як встановити наш сайт як веб-програму на головному екрані.
Замітка: This feature may not be available in some browsers.
да...решил поебланить, пока жду троллейбусЧто тут, нищеброды мастурбируют у кого круче мечты?

Мне интерсно сколько реально телефонов с одинаковыми IMEI-ями, не думаю что китаец в подвале паяя телефон будет делать уникальнымиСегодня туркцелл обрадовал смс-кой что они прохавали что мой IMEI был клонирован, и типа надо что-то делать. Напугали, другой в телефон прошью, это же андроид

Мне интерсно сколько реально телефонов с одинаковыми IMEI-ями, не думаю что китаец в подвале паяя телефон будет делать уникальными![]()
Господа теоретики.
Какое падение давления ***кости в таком разветвлении? В цифрах можно подсказать?
![]()

Я образно.1 единица чего, расхода? Тогда у тебя в отводе тупик и ниче туда не течет
Именно давление будет одинаковое.Я образно.
![]()
Слева входит 1 единица. Сколько пойдёт вниз и сколько направо?
Какое падение давления ***кости в таком разветвлении? В цифрах можно подсказать?
Пока что надыбал только это. Пытаюсь разобраться.Именно давление будет одинаковое.
Пока что надыбал только это. Пытаюсь разобраться.
![]()
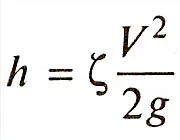
h-потеря напора здесь она измеряется в метрах.
ζ-Это коэффициент сопротивления, он будет находится дополнительными формулами о которых напишу ниже.
V-скорость потока ***кости. Измеряется [Метр/секунда].
g-ускорение свободного падения равен 9,81 м/с2
Тогда представим, что там маленькое давление. Меньше атмосферы.


Тебе *** в глаза все божья росса. Извини, но даже читать не стал, реально кумарит украинский в печати. Если хочешь обратиться ко мне: ссылки на русскую вики. Или общайся с оксюмироном
Я образно.
![]()
Слева входит 1 единица. Сколько пойдёт вниз и сколько направо?
Какое падение давления ***кости в таком разветвлении? В цифрах можно подсказать?
не надо сюда вбрасывать берколя.Вброшу
+1не надо сюда вбрасывать берколя.

Новина вже застаріла, але ж ви почитайте коменти. Я просто у захваті⚠ Тільки зареєстровані користувачі бачать весь контент та не бачать рекламу.![]()

ну очень авторитетный источника знаете что кондитерку порох купил? бабки у подьезда донесли
