3000 грн на місяць

Обновки

  • Автор теми Автор теми Воffка
  • Дата створення Дата створення
Именно. Оно конечно сильно зависит от любителей плескаться но 200л бойлера хватает на день всем у кого ни спрашивал. И даже если не хватит то можно же и догреть в крайнем случае но 90% будет в 2 раза дешевле без ограничений по напору и кол-ву открытых кранов одновременно.


Ясно. Понятно. Агрументов про то какие же удобства страдают при пользовании бойлером так и нету....
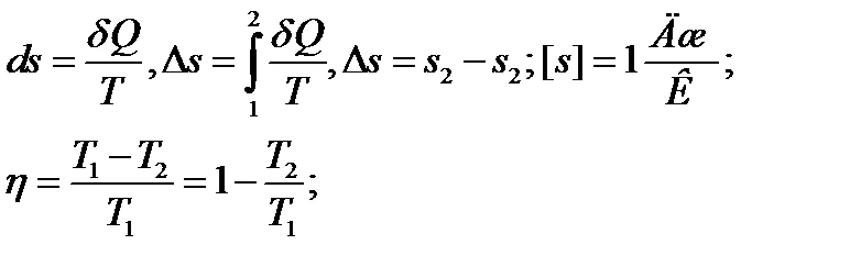
ошибочное представление, что включая бойлер только ночью можно сэкономить. чем больше холодной воды ты нагнал днем, тем больше тебе надо энергии, чтобы ее нагреть. при этом греть надо с запасом. самый экономный вариант - это когда вода в бойлере перманентно наиболее холодная, т.е. когда ты ее уже не разбавляешь. тогда энтропия самая маленькая будет

052c67370b93ae4b1137.webp
 
У меня когда-то были мокасины, купленные во Франции за 5 или 10 евро, купил с расчётом походить две недели и выкинуть. По итогу носил очень долго, мыл минимойкой каждую неделю (были белые) и ничего с ними не случалось. Правда потом начал играть в них в теннис и подошва стерлась за месяц))

в мокасинах? в теннис? :браво:
 
ошибочное представление, что включая бойлер только ночью можно сэкономить. чем больше холодной воды ты нагнал днем, тем больше тебе надо энергии, чтобы ее нагреть. при этом греть надо с запасом. самый экономный вариант - это когда вода в бойлере перманентно наиболее холодная, т.е. когда ты ее уже не разбавляешь. тогда энтропия самая маленькая будет

052c67370b93ae4b1137.webp

А при чём тут "самая маленькая энтропия" поясни пожалуйста если мы говорим о подведенном количестве тепла?

Я знаю, что по изменению энтропии можно судить о необратимости и эффективности процессов.
Формула с температурами - это кпд цикла Карно?

Как по мне единственная разница в затратах э/эн - только то, что бойлер остывает с ночи. Можно просчитать по конкретным цифрам какой объём воды до каких температур греть и вычислить разницу в количестве тепла, которое необходимо подвести, но не по твоим формулам.
 
:підстолом: :зе:

Власників транспортних засобів, що працюють на газі, змусять
⚠ Тільки зареєстровані користувачі бачать весь контент та не бачать рекламу.
оскільки транспортування газу в Україні є платним. Про це повідомляє сайт сатиричних новин UaReview із покликанням на власне джерело в Міністерстві енергетики.

«Якщо раніше українська влада вдовольнялась частковими рішеннями, а різні новаторства застосовувались вибірково, то новий уряд нарешті пропонує чітку модель «Що сказали – те й зробили», як і має бути, – запевняє джерело. – Мова була про те, що транспортування газу має стати платним, і уряд перестає ігнорувати водіїв, котрі раніше були привілейованою кастою. Машини з газовими двигунами, коли їздять, фактично транспортують газ. Зрозуміло, що тут також має стягуватися плата за транспортування.»

→ Подобаються наші новини? Підтримайте UaReview на Patreon

«Ми сподіваємось, що це нововведення збільшить надходження до бюджету та допоможе запобігти численним ДТП – адже водії, котрі знають, що здійснюють транспортування газу, водитимуть обережніше», – додає хтось із партії «Слуга народу».

Чи доведеться платити за транспортування газу людям, котрі перевозять газові балони в багажниках авто з бензиновими чи електричними двигунами, наразі невідомо.

[

Кстати про газ
А посоветуйте альтернативу уличному газовому обогреватею
db29c9a3e4970d8cd9604a.webp
 
понимаешь в чем суть
dgr это эталон дна
это пример как жить не надо
а ты блять даже хуже него
ты в дно стучишь:D

я даже стесняюсь предположить об обитателях средних слоев. Наверное Илон Маск ? Хотя вряд ли:D
 
А при чём тут "самая маленькая энтропия" поясни пожалуйста если мы говорим о подведенном количестве тепла?

потери энергии бойлера - это потери через обшивку. и чем больше разница температура с разных сторон обшивки, тем больше потери энергии. а когда греть воду: поддерживать ее перманентно или нагревать от 10 до 80 ночью - разницы нет. плюс когда ты греешь впрок (чтобы хватило на целый день), то греть надо сильно. как еще объяснить? :незнаю:
 
я в шоке. седне ребенок опять спорил с училкой в школе. задача была домашняя:
Сколько прошло времени с 21 ч 30мин до 8ч 45мин следующего дня? два ребенка принесли правильный ответ. это ж блин сколько тупых родителей :рл:
 
я в шоке. седне ребенок опять спорил с училкой в школе. задача была домашняя:
Сколько прошло времени с 21 ч 30мин до 8ч 45мин следующего дня? два ребенка принесли правильный ответ. это ж блин сколько тупых родителей :рл:

О чём спорил-то?

11:15
 
Назад
Зверху Знизу