Змінюй хід війни! Допомагай ЗСУ!

Электромобиль изменит мир к лучшему !

  • Автор теми Автор теми Singulyarnist
  • Дата створення Дата створення
Уже все рентабельно,( правда не у теслы)

если вы не заметили - тема про теслу

Тесла это машина уровня S class, A8, bmw7 и так далее.
Это факт.

что не делает ее доступнее, "народнее"

То что ее надо заряжать и она не смотря на сравнительно большой пробег все равно ограничивает перемещение владельца то же факт.

что еще больше отдаляет ее от "массовости", по-крайней мере на сегодняшний день


Особо явных преимуществ теслы над любой другой машиной этого класса нет.

отсутствие плюсов можно считать минусом

Тем не менее объемы продаж теслы огромный и цена не останавливает.

огромный в сравнении с ЧЕМ? сравните продажу теслы с каким-нибудь фордом, опелем, пежо-рено или японскими брендами и мы будем говорить предметно.

пока что выражение "ну просто огромное количество" не говорит мне ни о чем :незнаю:

Так может все таки она действительно радует ?
С сравнение с шариком не как уж и абсурдное ?

а где я писал что не радует? любая хорошая вещь всегда приятна, это факт

сравнение с шариком абсурдно, потому что я говорю о тяжелом, а вы о теплом

вопрос не в том, плохая тесла или хорошая, вопрос в том, насколько за ней будущее, т.е. насколько массовой машиной она станет и сможет занять лидирующие позиции среди всех марок и брендов
 
тесла пойдет по маркетинговому пути айфонов. тоже ведь смартфон недешев - но мегапопулярен и желаем многими (вплоть до продажи органов ))). для остальных, тем кому нужно экологическое и комфортное средство передвижения подсуетят китайцы за 5-10К
 
тесла пойдет по маркетинговому пути айфонов.

Вот у меня те же мысли были.
Особенно когда презентовали Модел Х.
Эти крылья...ммм. Это уже было на 300 сл мерсе, и на ряде итальянок...но никто не сделал это массовым.
+куча фишек которые делают из Теслы гаджет.
Автопилот.
Авто парковка.
Авто заезд в гараж.
Обновления прошивок раскрывающие новые возможности и прочее.

Это круто что автомобиль наконец то уходит из каменного века :клас:

А цена...кто не может купить неверлок новый покупает БУ ломанный айфон. Так же и с Теслой есть и будет.

В отличие от железной машины битая тесла не так плоха как железная и вытянутая машина.
 
слышшш.. ***..
китаецхуев !!!

идитынахуй со своим китаем !!!

много ли ты знаешь ***ть, про "накрученннные" счётчики в харькове ???

они стоят на уличных столбах по ЧС, и накручивает их ХАРЭНЕРГО, тока вот как раз в свою сторону !!!!



цифры - я тебе выложил !!!
1 Квт - 99 копеек,
1 литр от 18 гр..

***** ты мне поро пекинских дворников макароны развешиваешь ?????
я живу в харькове, и мне глубоко ******ь на зарплаты дворников в китае..
Да что ж ты нервный то такой?
То что электричество в КВт считают, а бензин литрами - так то все в курсе.
Ну за счетчик может... может и ошибся, но у нас он в гараже весит в ХАРЬКОВЕ. И на сколько я помню ни у кого он не крутился, на 10 гаражей в лево и в право от моего) Но может только у нас.
Но! Почему у меня с 77% до 100% требуется 10,21 кВт. А это совсем не 100 км. И это данные не счетчика, а зарядки которая стоит после счетчика и врать ей незачем.
Тут с шизофренией нужно разобраться:confused: У кого она собсно))))
Давай все данные, че уж...
Средний пробег в сутки.
Сколько Вольт батарея выдает на полной зарядке. Я ж надеюсь у тебя показывает? У меня показывает, даже в мопедике электрическом показывает, должно и у тебя быть.
Оющий пробег за все время экплуатации.
Сколько лет батареи?
Стоимость авто и его хар-ки....
И будем экономию считать.
А сравнивать килловаты с литрами - это да. Это шиза, но если для тебя это дело привычное((( то я, извини, не могу на твой уровень опуститься.



это у мотора 40 лс, а ранее вроде говорили за тридцатку - у нее там 5,6кгс м (шото около 50+ Нм)

Тяговый электродвигатель развивает максимальный крутящий момент сразу с 0. Поэтому нет коробки передач, на трении которой теряется мощность. Разгон 0-максимум происходит без потери динамики. А максимальная скорость, теоретически, ограниченна только оборотами двигателя.
Если я правильно понял тему обсуждения.
 
Останнє редагування:
Я не угадывал, а конкретно взял и сравнил 52 Нм Reva e2o, о котором была речь и нашел при помощи гугла крутящий ушастого Запорожца. Так у Запорожца в пересчете порядка 75 Нм при 2700.
Ну и что вы в этом запорожце будете ездить на 2700обмин? :) А у электрокара эта тяга на всем диапазоне.
 
Почему у меня с 77% до 100% требуется 10,21 кВт.

Да просто многие не понимают, что количество израсходованных на 100 км киловатт-часов не равно количеству киловатт-часов, полученных от зарядного устройства (электросети).

Чтобы аккумулятор при разряде отдал 1 киловатт-час энергии, при заряде потребуется затратить приблизительно 1,4 киловатт-часа.

Думаю, что по мере старения батареи этот параметр смещается также не в лучшую сторону.

Производители электроавтомобилей не афишируют это, а оперируют цифрами - сколько энергии требуется взять от аккумулятора для пробега 100 км. Опять-же, берётся самый экономичный режим - без печки, фар, музыки, мороза.

Так что затраты на электричество можно смело умножать на полтора-два.

ЗЫ: И ещё обратил внимание, что у нас в основном считают электричество по 99 коп за киловатт-час. Скромно забывая, что это только до 600 киловатт в месяц (реально - меньше, поскольку электричество дома используется и на все бытовые нужды). По хорошему, стоимость электроэнергии нужно брать ближе к промышленному тарифу - где-то в районе 1,50 грн за киловатт-час.
 
Останнє редагування:
при всей экологичности, у ветрогенераторов и масса минусов есть... да и ветры у нас не те, что с атлантики дуют

Если учесть сколько нужно вложить в постройку и эксплуатацию обычной электростанции или атомной - то я думаю ветряки и солнечные батареи выигрывают у этих монстров по всем показателям. К стати в цивилизованных странах посчитали что демонтаж ядерного реактора ( после срока эксплуатации) является настолько дорогим что "убивает" все плюсы атомной энергетики, отельной темой является высокая концентрация генирируемой мощности ( кпд сетей не редко не превышает 50%) реактор или обычную станцию рядом с городом не поставиш, а ветряк или солнечную панель можна ставить где угодно. Нужда ископаемого топлива делает контрольный выстрел в голову " традиционным" подходам в выработке електроинергии. А последний гвоздь в крышку гроба является причина возникновения алигархов вокруг предприятий-монстров(это пагубно влияет на благосостояние обычных людей) Мне кажется единственно правильный путь - перейти на возобновляемые источники энергии. Если этого не сделать то мы так и останемся в углеродном веке которым правят алегархии.



тесла пойдет по маркетинговому пути айфонов. тоже ведь смартфон недешев - но мегапопулярен и желаем многими (вплоть до продажи органов ))). для остальных, тем кому нужно экологическое и комфортное средство передвижения подсуетят китайцы за 5-10К
да я полазил есть уже такие машинки с ценой в 9-12 тыс пробег около 200 км.
⚠ Тільки зареєстровані користувачі бачать весь контент та не бачать рекламу.
 
Останнє редагування:
Так что затраты на электричество можно смело умножать на полтора-два.

ЗЫ: И ещё обратил внимание, что у нас в основном считают электричество по 99 коп за киловатт-час. Скромно забывая, что это только до 600 киловатт в месяц (реально - меньше, поскольку электричество дома используется и на все бытовые нужды). По хорошему, стоимость электроэнергии нужно брать ближе к промышленному тарифу - где-то в районе 1,50 грн за киловатт-час.

Пока вроде есть халявные зарядки
⚠ Тільки зареєстровані користувачі бачать весь контент та не бачать рекламу.
, на днях поздно вечером проезжал по Серповой так там Ниссан подзаряжался. причем все поблизости было закрыто, одна эта "колонка" светилась:)
 
С этими электромобилями надо осторожно переходить дорогу, блин, их практически не слышно. Или на маленькой улице, вылуплюсь в телефон, не слышу как разворачивается и выезжает
 
Да просто многие не понимают, что количество израсходованных на 100 км киловатт-часов не равно количеству киловатт-часов, полученных от зарядного устройства (электросети).

Чтобы аккумулятор при разряде отдал 1 киловатт-час энергии, при заряде потребуется затратить приблизительно 1,4 киловатт-часа.

Думаю, что по мере старения батареи этот параметр смещается также не в лучшую сторону.

Производители электроавтомобилей не афишируют это, а оперируют цифрами - сколько энергии требуется взять от аккумулятора для пробега 100 км. Опять-же, берётся самый экономичный режим - без печки, фар, музыки, мороза.

Так что затраты на электричество можно смело умножать на полтора-два.

ЗЫ: И ещё обратил внимание, что у нас в основном считают электричество по 99 коп за киловатт-час. Скромно забывая, что это только до 600 киловатт в месяц (реально - меньше, поскольку электричество дома используется и на все бытовые нужды). По хорошему, стоимость электроэнергии нужно брать ближе к промышленному тарифу - где-то в районе 1,50 грн за киловатт-час.

Вот-вот!!!! В графиках, которые были выше, обсуждаются батареи для похода. И источник более чем авторитетный.
Перед покупкой машины она была протестирована на прокатных автомобилях, которых у нас развелось более ем дофига. Вы сами понимаете, что прокатный эксплуатируется как и у большинства здесь (пробег небольшой, зарядка только медленная) и те которым было по 1,5-2 года заряжались максимум на пробег 142-145 км (рассчитаны на 150км). И если на новом показания расчетного остатка пробега и одометра практически 1:1, то на этих по одометру 30 км, по остатку 35 км и с увеличением пробега эта разница становится все больше и больше. Печка и кондиционер усугубляют ситуацию. А музыка в них работает от другой батареи)



LiFePO4_26650_3Ah_zarjad.webp


LiFePO4_26650_razr_ot_toka.webp


LiFePO4 аккумулятор RKB 3А*ч
Параметры тестов

Ток разряда Ар, Вт*ч .......КПД, %
0,2С ------------ 9,38-------95,4
0,5С ------------ 9,27-------94,2
1,0С -------------9,04-------91,9
4,0С -------------9.57-------87.1




⚠ Тільки зареєстровані користувачі бачать весь контент та не бачать рекламу.


почитай про литийферрофосфатники.. в самом низу.. LiFePO4
(не хоццца тебя оскорблять)

У вас хоть электро автомобиль есть????????? Или просто теоретик????
 
Останнє редагування:
за электромобилями - будущее, начинайте пересаживаться на них уже сейчас

А мы то в настоящем.
А настоящее совсем не радужное.
родам аккумуляторы от Nissan Leaf. В продаже модули, конфигурация 2S2P: 7.6в 66а/ч.
Краткие ТТХ:
Материал катода — LiMn 2 O 4 с LiNiO 2
Материал анода — Графит
Номинальная мощность (0.3c) — 33,1 Ач
Среднее напряжение — 3,8 В
Длина — 11,417 «(290 мм)
Ширина — 8,504 «(216 мм)
Толщина — 0,2795 «(7,1 мм)
Вес — 1,7624 кг (799 г)
Ячейки в наличии в Киеве. Есть 48 модулей и еще 96 на подходе. Брались под проект, кдиенту срочно понадобилсь деньги. продажа срочная,
потом наверное НОВЫХ ячеек и таких цен не будет. Это ячейки 2012 года с утопленника. Они полностью новые(никогда на них не ездили) мы сами были удивлены что внутри ни капли воды, никакой ржавчины. По опыту коллег из USA батарейки ведут себя на ура и служат как новые.

Цена 110$.
Возможен расчёт в гривне. По всем вопросам пишите здесь или в личку.

А стоимость 5500 я же здесь и написал и все на ура подхватили. Вот есть такие ВСЕГО за 4800 (если сам их заменишь) за полный комплект "как новые" и после того как вскрыли "влаги нет" - теперь точно.
Так сколько же новые? Я думаю о 5500 пора забывать, вспоминаем про 6800.
А всем теоретикам могу предложить свою формулу:
Вычитаем из стоимости литра стоимость киловатта. Вычисляем длину окружности с диаметром равным пробегу вашего авто (которое вы скоро купите:) ), результат делим на ценовую разницу и умножаем на 2. И получим..... дату выписки от вашего лечащего врача.
Для практиков, которые экономят в 10 раз предлагаю проверить экономию:
-берем ДВС и электро
- проезжаем 150 км туда и 150 км обратно в любую сторону от Харькова в период с 9:00 до 18:00
- потом внимательно считаем экономию и обсуждаем преимущества (обсуждаем с владельцами ДВС, коротая 2-х дневное ожидание возвращения практика-экономиста на электро)

И удачную покупку электромобиля в харькове, можно описать одним словом "вляпались".
 
Останнє редагування:
Ну и что вы в этом запорожце будете ездить на 2700обмин? :) А у электрокара эта тяга на всем диапазоне.
Почитай о чем речь шла. О прицепе и индийском электрорыдване.
Интересно, если вчетвером в этой индийской машине остановиться на подъеме Белгородского спуска, она поедет?:D
 
Ну и что вы в этом запорожце будете ездить на 2700обмин? :) А у электрокара эта тяга на всем диапазоне.

Не совсем так. У электричек момент падает с оборотами (макс на ноле, минимум на макс оборотах) из за этого на некоторых спортивных электричках ставят КП - дабы сохранить динамику на больших скоростях
 
почитай про литийферрофосфатники.. в самом низу.. LiFePO4

Почитал.

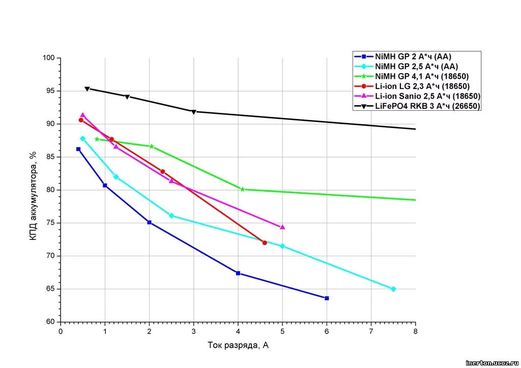
Начнём с того, что:
Конечно я полностью осознаю, что в некоторых случаях эти графики несколько условны и искуственны, и созданы больше для рекламы нежели отразить реальные характеристики, но так как другого выхода нет, пойдём этим путём.

Далее:
Сразу видно, что высокий КПД (выше 90%) имеет место только на низких токах разряда (ниже 0,6 А) и при повышении разрядного тока на каждый ампер, КПД падает на 4-5%.
Это означает, что для того, чтобы не попадать в зону низкого КПД, ёмкость аккумуляторов нужно выбирать с запасом, что приводит к увеличению их стоимости и массы.

Кроме того:
Справедливости ради стоит отметить, что разрядные кривые для всех проанализированных аккумуляторов были сняты после "медленного заряда". Это указали все производители, а зная страсть любых производителей к большим числам, можно предположить что в таком режиме аккумуляторы показывают максимальную ёмкость.
То есть, по-видимому, при использовании бысторй зарядки КПД будет меньше заявленного.
рассмотрим общую диаграмму по всем типам аккумуляторов. Из NiMH были исключены самые "слабые" чтобы не забивать график излишней информацией.
KPDakkum.webp


У всех аккумуляторов, кроме "фосфатника", КПД в режиме разряда средними токами находится в диапазоне от 65 до 85 процентов. То есть, для съема 1 ватт-часа в аккумулятор нужно "вдуть" от 1,18 до 1,54 ватт-часа.

У фосфатника, конечно, ситуация гораздо лучше, но зато он и самый дорогой и большой. Кроме того, совершенно непонятно, почему по трём точкам, лежащим на одной прямой, построен последний участок чёрного графика более полого. По идее, в режиме больших токов он должен заканчиваться в районе 85%.

Опять же, не забываем, что всё это - по данным производителей, для новых аккумуляторов, заряжаемых в оптимальных режимах.

ЗЫ: Если шо, я за электротягу, вижу в электромобиле много позитивного. Но также за правдивую информацию, без умалчивания "несущественных" моментов. И не нужно затыкать рот "китайцу", пусть делится своим практическим опытом, ведь чем больше информации, тем лучше. Умному человеку это поможет разобраться, что к чему, а ***** может просто не читать те "простыни".
 
ты тоже китаец, или марсианин ???

⚠ Тільки зареєстровані користувачі бачать весь контент та не бачать рекламу.


я в свои лимиты до 600 квт - укладываюсь
(иногда чуток перебираю)...

Вот смотрите, в беседе о электоромобилях
вы описали электроэнергию как товар.
Вы указали стоимость за единицу объема, что вполне свойственно для любого товара.

Я в свою очередь поинтересовался где я могу купить этот товар для зарядки собственного электоромобиля.

В ответ на предельно простой вопрос вы поинтересовалась не являюсь ли я гражданином другой страны или другой планеты, хотя всем известно что на указанной вами планете присутствие каких-либо форм жизни не обнаружено.

Потом вы мне дали ссылку на тот же товар с той же ценой о которой вы же говорили раньше.

А затем почему-то и зачемм-то описали свой объем потребления электроэнергии.

В связи с этим возник вопрос, вы случайно не *****?
Извините, но сходство поразительное.

Не совсем так. У электричек момент падает с оборотами (макс на ноле, минимум на макс оборотах) из за этого на некоторых спортивных электричках ставят КП - дабы сохранить динамику на больших скоростях

Все верно, только падение момента с ростом оборотов это свойство скорее не мотора, а всего привода.
Увеличение напряжения питания Частично закрывает эту проблему.
Для момента моторы нужен ток.
А для обеспечения тока на высоких оборотах требуется увеличения напряжения.

Поэтому и потребление энергии электромобилем пракчиски пропорционально скорости.
 
КПД электромобиля в целом нужно считать с учётом не тока аккумов, а и КПД контроллера, и КПД движка

Я так понимаю, что когда производитель говорит, что для поездки на расстояние 100 км требуется столько-то киловатт, то все эти потери учтены, иначе какой смысл в этой информации и как
⚠ Тільки зареєстровані користувачі бачать весь контент та не бачать рекламу.
между собой?
 
В отличие от железной машины битая тесла не так плоха как железная и вытянутая машина.
Что за поток подсознания?

вопрос экологии в наше время наверное самый важный, даже права человека не так важны
Так вот он какой - экофашизм.
 
Назад
Зверху Знизу